Documents

+

POST EXECUTIVE COMMITTEE MEETING MINUTES

<< New text box >>

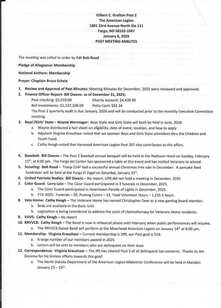
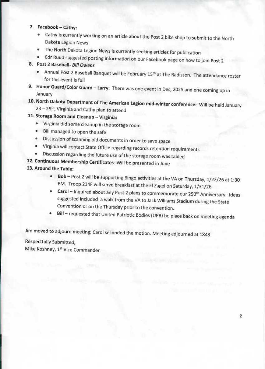
POST 2 MEETING MINUTES

By-Laws

of

Gilbert C. Grafton Post #2

The American Legion

Department of North Dakota

BY-LAWS OF THE GILBERT C. GRAFTON AMERICAN LEGION POST #2

These by-laws have been updated on the following dates:  March 1, 1960; September 3, 1963; March 6, 1972;  October 1973; February 4, 1975; August 3, 1976; February 1, 1983;  April 5, 1988; June 4, 1991; August 22, 1994; March 3, 1998; October 2, 2001; December 6, 2005; January 2, 2007; February 6, 2007; May 21, 2013; January 3, 2023; April 16, 2024, August 20, 2024

Print | Sitemap
© Gilbert C. Grafton American Legion Post 2